Zinssatz
Der Zinssatz definiert die Kosten des Kapitals, das für Investitionen notwendig ist. Investitionen für Anlagen fallen im gesamten Prozess der Biogaserzeugung an. So kommt der Frage nach der Finanzierung dieser Investitionen eine große Bedeutung zu.
Die Investitionskosten fallen bei der Anlagenerrichtung an und werden über die erwartete Nutzungsdauer der Anlage verteilt. Dabei wird mit einem kalkulatorischen Zinssatz gerechnet. Dieser entspricht bei einer Fremdfinanzierung dem Zinssatz, zu dem das Fremdkapital erhältlich ist. Bei einer Finanzierung mit Eigenkapital entspricht der kalkulatorische Zinssatz der erwarteten Rendite.
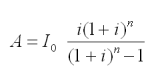
Bei der Ermittlung der jährlichen Zahlungen kann die Annuitätenmethode herangezogen werden. Die Formel dazu lautet:
Abbildung 1
[Bildbeschreibung einblendenBildbeschreibung ausblenden]
Das Bild zeigt die Formel zur Ermittlung der jährlichen Zahlungen nach der Annuitätenmethode: A = I * (i * (1 + i) hoch n) / (1 + i) hoch n – 1). Dabei ist A die Annuitäte, I die Anfangsinvestition i der Zinssatz und n die Dauer des Kapitaleinsatzes.
Die Annuität A ergibt sich durch die Multiplikation der Investition I0 mit dem Annuitätenfaktor. n ist die Dauer des Kapitaleinsatzes in Jahren, i steht für die Zinsen des eingesetzten Kapitals.
In der folgenden Abbildung sind die Gesamtkosten in Abhängigkeit vom Zinssatz dargestellt. Die beschriebene Modellanlage ist mit den 100 % der Gesamtkosten dargestellt.
Die Änderung des Zinssatzes hat beträchtlichen Einfluss auf die Höhe der Gesamtkosten. Steigt der Zinssatz von den angenommenen 6% auf 8% (+30%) dann steigen die Gesamtkosten um ca. 3%.
Abbildung 2: Abhängigkeit der Biogasgestehungskosten vom Zinssatz
[Bildbeschreibung einblendenBildbeschreibung ausblenden]
Das Diagramm zeigt die Sensitivität der Biogasgestehungskosten der Modellanlage in Abhängigkeit des Zinssatzes. Steigt der Zinssatz um 50 % steigen Gesamtkosten um knapp 6 %, sinkt er um 50 % dann sinken die Gesamtkosten um etwa 5 %.
Es sei nochmals darauf hingewiesen, dass die Angaben Näherungen zur Abschätzung der zu erwartenden Kosten der Biogas-Netzeinspeisung darstellen. In der Praxis können natürlich aufgrund von Anlagenbesonderheiten erhebliche Abweichungen auftreten.
