Betriebskosten
Die Kosten beim Betrieb von Biogasanlagen sind sehr unterschiedlich. Die in der folgenden Abbildung angeführten spezifischen Betriebskosten stammen aus Erhebungen von Förderstellen, aus realisierten Anlagen und sind teilweise Schätzungen basierend auf Erfahrungswerten der jeweiligen Autoren.
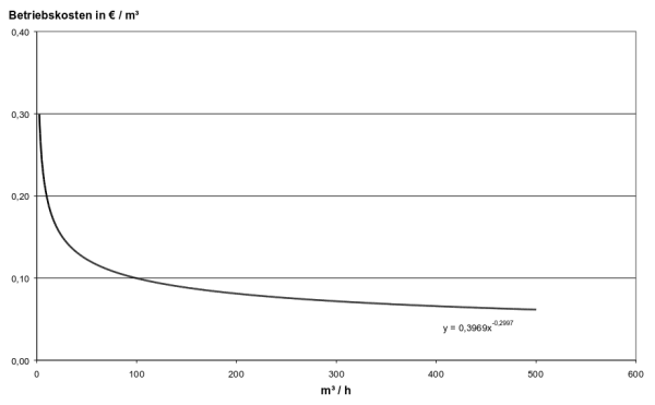
In der folgenden Abbildung sind die spezifischen Betriebskosten in €/Nm³ bezogen auf die Anlagengröße in Nm³/h dargestellt.
Abbildung 1: Spezifische Betriebskosten von Biogas in € / m³ bezogen auf die Anlagengröße in m³/h
[Bildbeschreibung einblendenBildbeschreibung ausblenden]
Das Bild zeigt die Betriebskosten einer Biogasanlage in Abhängigkeit der Anlagengröße. Die spezifischen Betriebskosten von NaWaRo-Anlagen sinken von etwa 7.500 Euro pro Kubikmeter bei Anlagen mit einer Leistung von 100 Kubikmetern pro Stunde auf etwa 5.000 Euro pro Kubikmeter für Anlagen mit etwa 500 Kubikmetern pro Stunde. Die Kosten für Bioabfallanlagen liegen rund 4.000 Euro pro Kubikmeter (kleine Anlagen) bzw. 2.000 Euro pro Kubikmeter (große Anlagen) höher. [Hornbachner 2005]
Die in der Abbildung dargestellte Ausgleichsfunktion stellt die mittleren Betriebskosten dar. Die Rohstoffkosten sind in diesen Kosten nicht enthalten. Bei Anlagen, die nur mit Gülle betrieben werden, ergeben sich die niedrigsten Betriebskosten. Grund dafür ist der geringe Energieaufwand aufgrund der geringen Trockensubstanz. Mit steigendem Anteil von NaWaRo steigen auch die Betriebskosten.
Personalkosten
Energiekosten
Sonstige Kosten
Personalkosten
Einen wesentlichen Kostenfaktor bei den Betriebskosten stellen die Aufwendungen für Personal dar. Wie in der folgenden Abbildung zu sehen ist, steigt der Arbeitszeitbedarf abhängig von der Anlagengröße bei jeder Anlage an, unabhängig davon, womit sie gespeist wird. Der Personalaufwand für die Silierung ist in den Richtwerten nicht enthalten, diese werden bei den Substratkosten berücksichtigt.
Berichten aus der Praxis zu Folge ist anzumerken, dass für Anlagen, die mit NaWaRo gespeist werden, der Arbeitszeitaufwand zeitweise durch Schwimmdeckenbildung oder Verlegung der Rührwerke höher sein kann als ursprünglich kalkuliert. Ebenso ist für die Hygienisierung von Speiseresten, welche nach der EU-Hygieneverordnung für bestimmte Substrate vorgeschrieben ist, ein nicht unerheblicher Arbeitszeitaufwand einzukalkulieren.
Energiekosten
Bei konventionell betriebenen Biogasanlagen mit BHKW-Verstromung werden in der Regel zwischen 5 und 20 % der erzeugten Strommenge als Eigenstrombedarf für den Anlagenbetrieb verwendet. Diese Energie wird für Rührwerke, Pumpen und sonstige elektrische Abnehmer (PC zur Anlagensteuerung, Licht…) benötigt.
Zur Erreichung der notwendigen Betriebstemperatur im Fermenter (je nach Verfahren Temperaturen zwischen 15-25°C psychrophil, 25-45°C mesophil bzw. 45-60°C thermophil) ist eine Beheizung notwendig. Die Wärmeversorgung kann mittels Gaskessel (Gaskessel) oder mit einem Blockheizkraftwerk BHKW (Blockheizkraftwerk) erfolgen. Eine Versorgung mittels thermischer Solarenergie wäre, jedenfalls in den Sommermonaten, technisch ebenso möglich.
Das BHKW kann entsprechend dem Wärmebedarf der Biogasanlage dimensioniert werden und stellt die Wärme für den Fermenter zur Verfügung. Der gleichzeitig erzeugte Ökostrom kann in das Stromnetz eingespeist werden oder zur Stromversorgung der Biogasanlage verwendet werden.
Sonstige Kosten
Instandhaltung
Die laufenden Kontrollen und Reparaturarbeiten für die Instandhaltung fallen auch bei einer Biogasanlage ohne BHKW an. Diese werden allerdings geringer, da die Wartung und Instandhaltung für das BHKW für Schmierung, Ölwechsel entfällt, was einen erheblichen Anteil ausmacht. Andererseits müssen für die Wartung des Gaskessels (für die Fermenterheizung) Kosten angesetzt werden.
Versicherungsprämien
Je nach zu versicherndem Risiko schwanken die Prämienleistungen, es können daher abhängig von den Anforderungen verschiedene Versicherungsstufen definiert werden.
- Versicherungsschutz gegen bauliche Risiken
- Bauleistungsversicherung
- Bauherrenhaftpflichtversicherung
- Versicherungsschutz gegen betriebliche Risiken
- Gebäudeversicherung (Feuer, Leitungswasser, Sturm, Elementar)
- Maschinenversicherung
- Betriebsunterbrechungsversicherung
- Betriebshaftpflichtversicherung
- Versicherungsschutz gegen Schäden durch Umwelteinwirkungen
- Umwelthaftpflichtversicherung
Gegenüber konventionellen Biogasanlagen mit Gasverstromung kommt es bei der Biogas-Netzeinspeisung zu gewissen Änderungen: das Risiko von Schäden bzw. Ausfall des BHKW entfällt, stattdessen sind auch Risiken im Bereich der Reinigungs- bzw. Aufbereitungsanlage und des Erdgasnetzes abzudecken.
Weitere Kostenfaktoren
Weitere Faktoren - allerdings mit einem wesentlich geringeren Einfluss auf die Vergärungskosten - sind Kosten für Büro- und Verwaltungsaufwand sowie Kosten für die in Anspruchnahme von Beratungs- und Dienstleistung und übrige Abgaben und Beiträge (z.B. für Interessensvertretungen).
Rückstellungen für Betriebsrisiken
Die Rückstellungen für Betriebsrisiken sind letztendlich jedem Betreiber individuell überlassen und werden eine Abwägung aus den versicherbaren Leistungen, den Wartungsverträgen mit den Lieferanten und der Übernahme eines Restrisikos sein.

![[Krachler 2003, Kirchmeyr 2003]](/_internal/cimg!0/of1gmxamgu9pxvwt80pngwocde1l2w4.png)
![[Krachler 2003, Kirchmeyr 2003]](/_internal/cimg!0/42ew89s8ioov8vxgg5jfpyyvfb8vccy.png)