Investitionskosten
Die spezifischen Investitionskosten sind sehr stark von der Anlagengröße abhängig. Mit steigender Anlagengröße sinken sie deutlich ab. Der höhere Automatisierungsgrad bei größeren Anlagen und der größere Anteil an Eigenleistung bei kleineren Anlagen wirken der Degression der Investitionskosten aber entgegen.
Kostenfaktoren einer Biogasanlage
Im Folgenden sind die wichtigsten Kostenblöcke bei der Errichtung einer Biogasanlage angeführt.
Gebäude und bauliche Anlagen
- Erdarbeiten
- Manipulationsfläche
- Substratübernahme
- Lagerraum
- Vorgrube und Pumpschächte
- Fermenter
- Nachgärbehälter
- Endlager
- Maschinenraum und Einhausung
Technik und Installation
- Substrattechnik
- Pumpen
- Rührwerk
- Wasserinstallation
- Wärmeinstallation
- Elektrik
- Gasführendes System
- Steuerung
- Trafostation
Gasverwertung
- Blockheizkraftwerk/Gaskessel
- Aufbereitung
- Einspeisung
Kostenfunktion
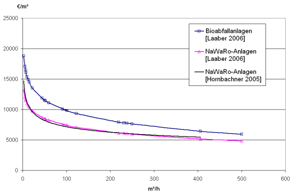
In der nachfolgenden Abbildung sind die Kostenkurven von Biogasanlagen dargestellt. Es handelt sich dabei um Investitionskosten von in Österreich realisierten Anlagen. Es wurde dabei zwischen Anlagen mit NaWaRo und Abfallentsorgungsanlagen unterschieden. [Laaber 2006/2]
Abbildung 1: Spezifische Investitionskosten der Biogasvergärung ohne BHKW und Gas-Aufbereitung in €/Nm³ abhängig von der Anlagengröße (m³/h)
[Bildbeschreibung einblendenBildbeschreibung ausblenden]
Das Bild zeigt den degressiven Verlauf der spezifischen Investitionskosten einer reinen Biogasvergärungsanlage in Abhängigkeit vom Biogasvolumenstrom. Die Kosten für Anlagen auf Basis von Nachwachsenden Rohstoffen sinken von rund 7.500 Euro pro Normkubikmeter für Anlagen mit ca. 100 Kubikmeter pro Stunde auf zirka 4.800 Euro pro Normkubikmeter für bei 500 Kubikmeter pro Stunde. Die spezifischen Kosten für Bioabfallanlagen liegen rund 500 (bei kleinen Anlagen) bis 200 (bei großen Anlagen) Euro pro Normkubikmeter höher. (Quellen: [Hornbachner 2005] und [Laaber 2006] )
Die Investitionskosten für NaWaRo-Anlagen liegen zwischen ca. 4.800 €/m³ bei (500 m³/h) und 6000 €/m³ (bei 250 m³/h). In der Regel kann davon ausgegangen werden, dass bei der Vergärung von NaWaRo im Vergleich zur Vergärung von Gülle, ein höherer Aufwand für die Substrateinbringung notwendig ist. Weiters sind noch ein zusätzliches Gärrestlager sowie Lagerflächen erforderlich.
In diesen Kosten sind die baulichen Anlagenteile Vorgrube, Fermenter, Gärrestlager und die notwendige Peripherie, die technische Anlagen zur Substrateinbringung, Rührwerke, Pumpen, Rohrleitungen, Gasspeicher, elektrische Installationen und Messstellen enthalten. Wird kein BHKW installiert, muss eine andere Wärmequelle für die Beheizung des Fermenter vorgesehen werden. In der Regel wird ein für Biogas adaptierter Gasbrenner installiert.
Unterschiede in den Investitionskosten zwischen Deutschland und Österreich
Anlagen in Deutschland weisen in der Regel wesentlich geringere Investitionskosten als Anlagen in Österreich auf. Eine kontinuierliche und konsequente Förderung von Biogasanlagen hat sich mit niedrigeren Marktpreisen zu Buche geschlagen. Die wechselnden gesetzlichen Rahmenbedingungen haben in Österreich hingegen zu einem Anstieg der durchschnittlichen Investitionskosten geführt. Dies mag nicht zuletzt darauf zurückzuführen sein, dass viele Anlagen angesichts des Auslaufens des Ökostromgesetzes unter hohem Zeitdruck errichtet worden sind.
Fermenterheizung
Für den Vergärungsprozess ist es wichtig, dass es im Fermenter zu geringen Temperaturschwankungen kommt. Die Fermenter können grundsätzlich durch ein integriertes Blockheizkraftwerk oder durch einen Gaskessel beheizt werden. Durch starke Schwankungen oder durch eine starke Abweichung vom Temperaturbereich kann es zur Hemmung des Gärprozesses kommen. Folgende Ursachen sind für Temperaturschwankungen möglich:
- Zufuhr von frischem Substrat
- Bildung von Temperaturzonen aufgrund von unzureichender Wärmedämmung, falscher Heizungsauslegung oder unzureichender Durchmischung.
- Extreme Außentemperaturen
- Ausfall von Aggregaten
Gaskessel
Für die Beheizung der Fermenter ist eine Wärmequelle notwendig. Ob darüber hinaus noch weitere Verbraucher versorgt werden, ist von den Gegebenheiten vor Ort abhängig.
Investitionskosten
Die Investitionskosten für die betrachtete Anlage setzen sich aus dem Kessel, dem Abgassystem, einem Warmwasserspeicher, dem Gasanschluss und der Montage und Inbetriebnahme zusammen. Die gesamten Investitionskosten belaufen sich auf ca. 10.500 € bei 32 kWth. [IE 2005]
Betriebskosten
Für die Wartung/Instandhaltung und die erforderliche Hilfsenergie ist mit jährlichen Kosten von etwa 300 € zu rechnen. [IE 2005]
Blockheizkraftwerk
In einem Blockheizkraftwerk (BHKW) wird gleichzeitig Strom und Wärme erzeugt. Als Motoren werden Gas-Otto- oder Zündstrahlmotoren verwendet. Bei Zündstrahlmotoren wird das Verbrennungsluftgemisch im Brennraum mittels zugeführtem Zündöl gezündet. Übliche Zündölanteile betragen bis zu 10%.
Das BHKW kann nach dem Wärmebedarf der Biogasanlage dimensioniert werden und die erzeugte Wärme zur Beheizung der Fermenter verwendet werden.
Abbildung 2: elektrische Wirkungsgrade von Biogas-BHKW Anlagen
[Bildbeschreibung einblendenBildbeschreibung ausblenden]
Das Bild zeigt die Abhängigkeit der elektrischen Wirkungsgrade von biogasbetriebenen Blockheizkraftwerken von der elektrischen Leistung. Die Trendlinie zeigt einen Anstieg von etwa 30 % Wirkungsgrad bei einer BHKW-Nennleistung von 40 Kilowatt über 33 % bei 100 Kilowatt auf etwa 35 % bei 250 Kilowatt und 37 % bei 500 Kilowatt. BHKW mit 1.200 Kilowatt bringen es bereits auf Wirkungsgrade von 40 % und darüber. [ASUE]
Investitionskosten
In den Investitionskosten sind der Motor mit Generator mit den notwendigen Sicherheits- und Überwachungseinrichtungen sowie der Regeleinrichtung enthalten. Es ist auch der Kühlwasserwärmetauscher inklusive Verrohrung, der Schaltschrank, Transport und Montage sowie die Inbetriebnahme enthalten. Die spezifischen Preise sind in der folgenden Abbildung dargestellt. Ein BHKW mit einer elektrischen Leistung von 250 kW hat Investitionskosten von etwa 180.000 €.
Abbildung 3: Spezifische Preise von Biogas-BHKW-Anlagen
[Bildbeschreibung einblendenBildbeschreibung ausblenden]
Das Bild zeigt leistungsspezifischen Richtpreise als Funktion der elektrischen Leistung von Biogas-Blockheizkraftwerken. Die Kosten sinken von rund 1.000 Euro pro Kilowatt für BHKW mit 100 Kilowatt auf etwa 600 Euro pro Kilowatt für Leistungen um 500 Kilowatt und knapp 500 Euro pro Kilowatt bei 1-Megawatt-BHKWs. [ASUE]
Link
BHWK-Kenndaten 2005 ;Arbeitsgemeinschaft für sparsamen und umweltfreundlichen Energieverbrauch e.V. (Hrsg.), Verlag rationeller Erdgaseinsatz, Kaiserslautern www.asue.de
„Technologie Portrait Kraft-Wärme-Kopplung“ Institut für Thermische Turbomaschinen und Maschinendynamik, Wien, 2002 www.energytech.at
Unterschiede NaWaRo-/ Gülle-/ Abfall-Anlage
Bei der Vergärung von NaWaRo ist gegenüber der Vergärung von Gülle ein höherer Aufwand für die Substrateinbringung notwendig. Weiters ist noch ein zusätzliches Gärrestlager sowie eine entsprechende Lagerfläche erforderlich.
Durch die größeren Fermentervolumen, die bei Gülleanlagen notwendig sind, um auf den gleichen Gasertrag zu kommen, haben diese etwas höhere Investitionskosten als Anlagen für die Vergärung von NaWaRo. Werden aber die Investitionskosten für Lagerung (Aufwand für die Errichtung eines Fahrsilos) auch berücksichtigt, und nicht den Substratkosten zugeordnet, dann liegen die Investitionskosten einer NaWaRo-Anlage etwas über den Investitionskosten einer Gülleanlage. [IE 2005]
Abfallentsorgungsanlagen haben in der Regel höhere Investitionskosten als NaWaRo-Anlagen, da bei ersteren das Substrat noch mit entsprechenden Technologien aufbereitet und vorbehandeln werden muss.
Hinweis
Aufgrund der bisher beschriebenen zahlreichen kostenrelevanten Einflussfaktoren können die angeführten Investitionskosten lediglich als Richtwerte angesehen werden. Die tatsächlich zu erwartenden Gestehungskosten müssen je nach Anlagenspezifikation berechnet werden und können je nach Anlage erheblich differieren.
