Systemüberblick Druckwasserwäsche (DWW)
Die Druckwasserwäsche stellt keine besonderen Anforderungen an die Qualität des Rohbiogases. Die Hauptkomponenten sind die Absorptions- und Desorptionskolonne, Verdichter und Gebläse, Kühler sowie die nachgeschaltete Gastrocknung.
- Verfahrensbeschreibung
- Grobentschwefelung
- Methananreicherung
- Regenerierung
- Regelung des Verfahrens
- Investitionskosten
- Betriebskosten
- Druckwasserwäsche mit Abwasser
- Entwicklungsstand
Verfahrensbeschreibung
Grobentschwefelung
Eine Grobentschwefelung oder Gastrocknung vor der Druckwasserwäsche ist nicht erforderlich. Vom Hersteller wird eine Einrichtung zur Abscheidung von mitgerissenen Wassertröpfchen empfohlen. Dafür kann eine Kiesschüttung verwendet werden, diese dient gleichzeitig zur Sammlung des Kondenswassers nach der Verdichtung (Nachkühlung).
Methananreicherung
Im Absorber werden der Schwefelwasserstoff und das Kohlendioxid aus dem Biogas entfernt. Die maximal wirtschaftlich vertretbare Abtrennleistung beträgt für CO2 ca. 96 %, höhere Abtrennraten sind mit steigendem Methanverlust verbunden. Die kleinste lieferbare Druckwasserwäsche hat einen Gasdurchsatz von 50 bis 100 m³/h. Bei Kühlung des Waschwassers auf 5°C wird mit der gleichen Anlage ein Gasdurchsatz bis zu 150 m³/h möglich. [IE 2005]
Zur Aufbereitung des Biogases auf eine Qualität entsprechend der ÖVGW G31 und G33 ist ein Gesamtdruck von ca. 9 bar notwendig. Die Verdichtung kann mit einem zweistufigen Hubkolbenverdichter mit Zwischen- und Nachkühlung erfolgen. In der Kolonne erfolgt die Absorption von H2S und CO2. Das Rohbiogas wird an der Unterseite der Kolonne eingebracht. Die Kolonne wird vom Biogas durchströmt und am Kopf der Kolonne verlässt das Reinbiogas den Absorber.
Abbildung 1: Verfahrensschema zur Biogasaufbereitung mit DWW
[Bildbeschreibung einblendenBildbeschreibung ausblenden]
Das Bild zeigt das Verfahrensschema der Druckwasserwäsche: Das Rohgas strömt aus dem Fermenter durch einen Abscheider in den Verdichter bevor es von unten in die Adsorptionskolonne gelangt. Es strömt oben aus dem Adsorber aus und wird anschließend getrocknet. Das Waschwasser strömt im Gegenstrom durch den Adsorber, wird anschließend in Desorbern regeneriert, gekühlt und wieder in den Adsorber gepumpt.
Regenerierung
Nach der Druckwasserwäsche wird das angereicherte Gas getrocknet. Die Regenerierung des Waschwassers erfolgt durch Druckabsenkung. Das beladene Waschwasser wird in eine Regenerierungseinheit gepumpt. In der ersten Kolonne wird das Waschwasser auf den Betriebsdruck der ersten Verdichterstufe entspannt.
Das desorbierte Gas mit hohem Methangehalt wird wieder in die Absorptionskolonne rückgeführt, dadurch kann der Methanverlust reduziert werden. Die Waschflüssigkeit gelangt, nachdem sie entspannt wurde, in die Desorptionskolonne.
Das Waschwasser wird in der zweiten Stufe vollständig entspannt, diese Stufe ist als Tropfkörper ausgeführt und wird mit Luft durchströmt. Im Abgas ist ca. 0,1 Vol% H2S und ca. 30 Vol% CO2 enthalten. Nach der Regenerierung wird das Waschwasser gekühlt und in der Absorptionskolonne erneut versprüht.
Wegen des hohen H2S-Gehaltes wird in der Regel ein biologischer Filter eingesetzt. Das regenerierte Waschwasser wird wieder in den Absorber zurückgeführt. Es ist notwendig ständig Frischwasser zuzuführen, um den pH-Gehalt des Waschwassers auf einem konstanten Wert halten zu können.
Regelung des Verfahrens
Es ist möglich, eine gleichbleibende Austrittkonzentration auch bei schwankenden H2S- und CO2-Konzentrationen zur erreichen. Die Löslichkeit von H2S und CO2 ist von der Temperatur und dem Arbeitsdruck abhängig. Für eine Steigerung der gewünschten CO2-Abtrennung oder des Gasdurchsatzes muss der Betriebsdruck erhöht oder die Temperatur des Waschwassers abgesenkt werden.
Für sehr hohe H2S-Belastungen im Rohbiogas kann eine Feinentschwefelung nach der Druckwasserwäsche vorgesehen werden um den Grenzwert von 5 mg/m³ (ÖVGW G31) sicher einzuhalten. Für die Feinentschwefelung sollten wiederum solche Verfahren ausgewählt werden, die keinen Sauerstoffeintrag in das Biogas erfordern.
Die Druckwasserwäsche wird bei den Methananreicherungsverfahren noch einmal genauer beschrieben.
Investitionskosten
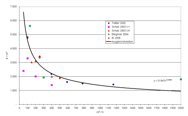
In der folgenden Abbildung sind die spezifischen Investitionskosten für DWW-Anlagen dargestellt. Darin sind Kosten für die Wasserabscheidung, für die Kompression, für die Entschwefelung und die Kosten der eigentlichen Methananreicherung sowie der Flüssiggasdosierung enthalten. Die angeführten Kosten beinhalten den Bau der Anlage, die Installation, die Einhausung und die Abgasbehandlung. Kann auf die Flüssiggasdosierung verzichtet werden, dann reduzieren sich die Investitionskosten um ca. 2 – 3 %, abhängig von der Anlagengröße.
Abbildung 2: Spezifische Investitionskosten in EUR/m³ für Druckwasserwäsche bezogen auf die Anlagengröße (m³/h)
[Bildbeschreibung einblendenBildbeschreibung ausblenden]
Das Diagramm zeigt die spezifischen Investitionskosten für Druckwasserwäsche in Abhängigkeit der Anlagenkapazität aus fünf Literaturquellen (Tretter 2003, Schulz 2003 U1, Schulz 2003 U4, Bergmair 2004, IE 2005): Die Ausgleichskurve zeigt einen hyperbelartigen Verlauf mit der folgenden Ausgleichsfunktion: spezifische Kosten ist gleich 51.947 mal Kapazität hoch minus 0,52. Die Kosten sinken von rund 5.000 Euro pro Kubikmeter für Anlagen mit einer Kapazität von 100 Kubikmeter pro Stunde auf etwa 2.000 Euro pro Kubikmeter für Anlagen mit 500 Kubikmeter Stundendurchsatz und etwa 1.300 Euro pro Kubikmeter für Anlagen mit 1.200 Kubikmeter pro Stunde.
Betriebskosten
Hier werden die Kosten für Strom, Wasser, Personal, Betrieb und Instandhaltung sowie die Propangasdosierung berücksichtigt. Bei den Betriebskosten wurden - um die ÖVGW-Richtlinie G31 zu erfüllen - die Zudosierung von Flüssiggas in der Höhe von 0,883 % der Produktgasmenge angenommen. Ist keine Zudosierung notwendig, wären die Betriebskosten, um ca. 9 bis 18 % niedriger.
Abbildung 3: Betriebskosten mit und ohne Flüssiggasdosierung bei der Druckwasserwäsche abhängig von der Anlagengröße
[Bildbeschreibung einblendenBildbeschreibung ausblenden]
Das Diagramm zeigt die Abhängigkeit der Betriebskosten von der Anlagengröße: Der hyperbelförmige Verlauf der Kosten liegt bei rund 0,17 Euro pro Kubikmeter bei Anlagen mit 100 Kubikmeter pro Stunde, bei etwa 0,08 Euro pro Kubikmeter bei Anlagen mit 400 Kubikmeter Stundendurchsatz pro Stunde und etwas über 0,06 Euro pro Kubikmeter bei Anlagen mit 800 Kubikmeter pro Stunde. Ohne Flüssiggasdosierung liegen die Kosten zwischen 9 % (kleine Anlagen) und 18 % (große Anlagen) niedriger.
Bei diesem Verfahren haben die Wasserkosten einen großen Einfluss auf die Betriebskosten. Für detailliertere Untersuchungen muss diesbezüglich auch auf den jeweiligen Standort und die vorherrschenden Bedingungen (Wasser-, Kanalgebühr) Rücksicht genommen werden. In der folgenden Abbildung sind verschiedene Wasserversorgungsgebühren und Wasserentsorgungsgebühren in den österreichischen Gemeinden angeführt.
Abbildung 4: Wasser- und Kanalgebühren in ausgewählten österreichischen Gemeinden mit Stand 2000
[Bildbeschreibung einblendenBildbeschreibung ausblenden]
Das Diagramm zeigt Wasser und Abwasserkosten in acht ausgewählten österreichischen Gemeinden: Bad Ischl,Salzburg, Klosterneuburg, Hall in Tirol, Wien, Graz, Wolfsberg und Traun. Die Trinkwasserkosten liegen zwischen 2,225 Euro pro Kubikmeter (Hall in Tirol) und 0,550 Euro pro Kubikmeter (Traun), die Abwasserkosten zwischen 2,794 Euro pro Kubikmeter (Bad Ischl) und 0,820 Euro pro Kubikmeter (Traun). Tendenziell weisen Gemeinden mit hohen Trinkwasserkosten auch höhere Abwasserkosten auf.
Druckewasserwäsche mit Abwasser
Eine Variante bei der Druckwasserwäsche ist die Nutzung von geklärtem Abwasser, um Betriebskosten zu sparen. Diese Möglichkeit wird bei einigen schwedischen Kläranlagen praktiziert. Es muss allerdings damit gerechnet werden, dass es dadurch zu Belägen in den Waschkolonnen kommen kann, was den Betriebsaufwand und somit die Betriebskosten erhöhen kann.
Entwicklungsstand
Ebenso wie für das PSA-Verfahren sind für die Druckwasserwäsche relativ umfangreiche Daten zur Technik sowie zur Wirtschaftlichkeit vorhanden. Es kann daraus ein hoher Entwicklungsstand dieser Technologie abgeleitet werden. In Europa wird diese Technologie in einem Großteil der Anlagen mit Gasaufbereitung angewendet.
