Vergleich der Verfahren zur Methananreicherung
In diesem Kapitel werden die Druckwechseladsorption, die Druckwasserwäsche und die Niederdruck-Membranabsorption verglichen. Dabei werden die spezifischen Verfahrenskosten, der Strombedarf und die Methanverluste der Aufbereitungsverfahren gegenübergestellt.
Auf einen Vergleich der anderen Verfahren (Kryogene Gastrennung, Gaspermeation mittels Membranen) muss verzichtet werden, weil sich diese Anlagentypen noch in der Pilotphase befinden.
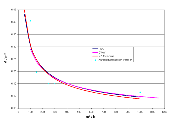
Zum Vergleich der spezifischen Verfahrenskosten der drei diskutieren Technologien zur Methananreicherung, mit denen Biogas zu Erdgasqualität aufbereitet werden kann, werden diese in der folgenden Abbildung gegenübergestellt. Dabei zeigt sich, dass die Anreicherungskosten nur geringfügig voneinander abweichen. Die Spezifikationen des Produktgases beziehen sich auf Austauschgas (inkl. Flüssiggasbeimischung) mit einer Qualität gemäß Anforderungen ÖVGW G31 und der G33.
Die spezifischen Verfahrenskosten liegen zwischen 0,15 und 0,19 €/m³ bei einer Anlagenkapazität von 250 m³/h Rohbiogas. Die Verfahrenskosten von 0,15 €/m³ wurde für realisierte Aufbereitungsanlagen in Schweden erhoben. Bei einer Anlagenkapazität von 500 m³/h sinken die spezifischen Verfahrenskosten auf ca. 0,13 €/m³.
Abbildung 1: Spezifische Verfahrenskosten der Methananreicherung mittels Druckwechseladsorption (PSA), Druckwasserwäsche (DWW) und Niederdruck-Membranabsorption (ND Membran) in EUR/m³ bezogen auf das Produktgas und abhängig von der Anlagengröße in m³/h
[Bildbeschreibung einblendenBildbeschreibung ausblenden]
Das Bild zeigt den degressiven Verlauf der spezifischen Kosten der Methananreicherung in Abhängigkeit von der Anlagenkapazität. Die Ausgelichkurven der kosten haben Hyperbelform und liegen für alle drei dargestellten Verfahren in etwa gleich auf. Sie sinken von rund 0,3 Euro pro Kubikmeter bei einer Anlagenkapazität von 100 Kubikmeter pro Stunde auf 0,15 Euro pro Kubikmeter bei 400 Kubikmeter pro Stunde und rund 0,1 Euro pro Kubikmeter bei Anlagen mit 1000 Kubikmeter pro Stunde. [Tretter 2003]
Die Verfahren haben im Betrieb jedoch einen unterschiedlichen Energieverbrauch, wie die folgende Gegenüberstellung zeigt. Die PSA und DWW haben einen ähnlich hohen Strombedarf, was auf das jeweilige Druckniveau (5 –10 bar bei der PSA und 8 bar nach Entfeuchtung bei der DWW) zurückzuführen ist. Bei der Niederdruck-Membranabsorption beträgt der Strombedarf nur ca. ein Drittel der beiden anderen Technologien, da diese nur mit einem Gebläse betrieben werden muss.
Abbildung 2: Strombedarf der Gasaufbereitungsanlagen mittels Druckwechseladsorption (PSA), Druckwasserwäsche (DWW) und Niederdruck Membranabsorption (ND Membran) in kWh/Jahr bezogen auf den Rohgasdurchsatz
[Bildbeschreibung einblendenBildbeschreibung ausblenden]
Das Bild zeigt den jährlichen Strombedarf der drei Aufbereitungstechnologien: Er steigt in etwa linear mit dem Rohgasdurchsatz. Bei 200 Kubikmeter Stundendurchsatz beträgt er für PSA und DWW rund 500 Megawattstunden, für 1.000 Kubikmeter pro Stunde steigt er auf etwa 1.800 Megawattstunden bei. Beim Membranverfahren liegt er jeweils etwa bei einem Drittel dieser Mengen. [Tretter 2003]
In der nachfolgenden Abbildung sind die Methanverluste und die sich daraus ergebenden Verluste von chemisch gebundener Energie dargestellt. Der Verlust an chemisch gebundener Energie bezieht sich auf die Energiebilanz der Aufbereitungsanlage. Die angeführten Werte sind die Verluste bezogen auf die Erzeugung. Die Methanverluste sind verfahrensbedingt, da bei den einzelnen Technologien nicht 100 % des CH4 vom CO2 abgetrennt werden können. Bei der DWW wird beispielsweise bei der Reformierung des Waschwassers auch ein Teil des CH4 ausgewaschen. Es zeigt sich, dass die Verluste bei den Methoden der DWW und der PSA höher sind als bei der Niederdruck-Membrantechnologie.
Abbildung 3: >Verluste der Gasaufbereitungsanlagen mittels Druckwechseladsorption (PSA), Druckwasserwäsche (DWW) und Niederdruck Membranabsorption (ND Membran) in Prozent bezogen auf die Erzeugung
[Bildbeschreibung einblendenBildbeschreibung ausblenden]
Das Bild zeigt die Methanverluste bzw. die Verluste an gebundener chemischer Energie. Für PSA liegen sie jeweils etwa bei 3 %, für die DWW bei rund 2 %. Das Membranverfahren ist mit rund 0,1 % nahezu verlustfrei. [Tretter 2003]
Stand der Technik
Druckwasserwäsche (DWW)
Aufgrund der sich im Betrieb befindlichen Methananreicherungsanlagen lässt sich schlussfolgern, dass die Druckwasserwäsche für die Biogasaufbereitung gut geeignet ist. Diese Technologie wurde im europäischen Raum bisher am häufigsten realisiert. Auf jeden Fall ist bei dieser Technologie standortspezifisch zu klären, zu welchen Kosten das Prozesswasser bereitgestellt werden kann (z.B. Ablauf aus einer Kläranlage oder teures Leitungswasser).
Druckwechseladsorption (PSA)
Die zweithäufigste Anlagenart ist die PSA-Technologie. Darunter wird im Allgemeinen die Verwendung von Aktivkohlen, Molekularsieben und Kohlenstoffmolekularsieben zur Gasaufbereitung verstanden. Dieses Verfahren ist weit verbreitet und technisch ausgereift. Eine vorherige Gastrocknung ist in bestimmten Fällen notwendig.
Niederdruck-Membranabsorbtion
Die Erfahrungen aus dem Anlagenbetrieb der einzigen Niederdruck-Membranabsorbtions-Anlage in Europa werden zeigen, ob diese Technologie für die Biogasaufbereitung praktikabel ist.
Gaspermetation mittels Membranen
Das Verfahren der Gaspermeation mittels Membranen wird zurzeit intensiv erforscht. In Europa arbeiten bereits fünf Anlagen nach diesem Prinzip. Im Falle einer Senkung der Anlagenkosten, im Speziellen der Membrankosten mittels neuer Technologien, könnte dieses Verfahren intensiver eingesetzt werden. Die Membranverfahren sind derzeit noch relativ teuer und es fehlen die Erfahrungen mit großen Gasdurchsätzen. Ein Vorteil ist der einfache Aufbau und der nahezu wartungsfreie Betrieb des Verfahrens.
Kryogene Gastrennung
Die kryogene Gastrennung ist derzeit noch dem Bereich Forschung und Entwicklung zuzuschreiben. Ob ein intensiver Einsatz in der Biogastechnik erfolgen wird, lässt sich derzeit noch nicht abschätzen.
Selexolverfahren
Beim Selexolverfahren handelt es sich um ein Druckwäscheverfahren. Als Lösemittel für CO2, H2O und H2S dient ein Glycol Dimethyl Ether. Die Nachteile dieses Verfahrens sind die hohen Betriebsmittel- und Entsorgungskosten sowie der hohe Methanverlust von 6,5%. Dieses Verfahren eignet sich gut für trockene, schwefelfreie Gase. Eine wirtschaftliche Anwendung dieses Verfahrens zur Abtrennung von H2S, CO2 und zur Trocknung ist nur für sehr große Gasdurchsätze realisierbar. [Theißing 2005]
- Aufbereitung
- System
- Reinigung
- Methananreicherung
- Vergleich der Verfahren zur Methananreicherung
- Druckwechseladsorption (PSA)
- Druckwasserw
- Gasw
- Niederdruck-Membranabsorbtion
- Gaspermeation mittels Membranen
- Kryogene Gastrennung
- Fl
