Systemüberblick Druckwechseladsorption (PSA)
Bei diesem Verfahren muss das Rohbiogas vor der Methananreicherung entschwefelt werden. Die Entfernung des Schwefelwasserstoffes, des Wassers und anderer Gasbestandteile ist notwendig da diese auf dem Kohlenstoffmolekularsieb adsorbieren und die Trennleistung beeinträchtigen oder zum Erliegen bringen können. Vor dem Eintritt in die PSA soll das Biogas maximal 5 mg/m³ Schwefelwasserstoff und maximal 0,2 g/m³ (0,15 Vol%) Wasser enthalten. Schwefelwasserstoff und Wasser werden sonst von den Molekularsieben adsorbiert und beeinträchtigt die Trennleistung. [IE 2005]
- Verfahrensbeschreibung
- Vorentschwefelung
- Methananreicherung
- Regenerierung
- Regelung des Verfahrens
- Investitionskosten
- Betriebskosten
- Entwicklungsstand
Verfahrensbeschreibung
Grobentschwefelung
Der Schwefelwasserstoffgehalt im Rohbiogas ist in der Regel zu hoch, um diesen mittels imprägnierter Aktivkohle oder Zinkoxid in einem Schritt wirtschaftlich abtrennen zu können. Zur Vorentschwefelung kann ein Biowäscher mit externer Regenerierung eingesetzt werden, dieser ist aber erst ab einer Kapazität von 200 m³/h einsetzbar. [IE 2005]
Eine biologische Entschwefelung, bei der eine Luftzudosierung notwendig ist, ist nicht geeignet, um die erforderliche Reingasqualität zu erreichen. Sowohl die biologische Entschwefelung (im Fermenter oder extern) als auch die Grobentschwefelung mittels Eisenoxid benötigen Luft und sind dadurch mit einem Inertgaseintrag von 5-8% verbunden. Dadurch können diese Verfahren nicht für die Aufbereitung von Biogas nach der ÖVGW Richtlinie herangezogen werden. Es würde sich dadurch eine höhere Flüssiggaszugabe und die Notwendigkeit einer Sauerstoffentfernung ergeben.
Für kleinere Volumenströme (50 m³/h Rohbiogas) kann eine Sulfidfällung zur Grobentschwefelung eingesetzt werden. Durch den hohen Verbrauch von Eisensalzen können die Betriebskosten bei großen Biogasmengen stark steigen.
Bei Volumenströmen unter 200 m³/h ist die Entscheidung zu treffen, ob auf eine Grobentschwefelung verzichtet werden kann. Bei einem H2S-Gehalt von mehr als 500 ppm im Biogas ist eine rein adsorptive Schwefelwasserstoffabtrennung nicht mehr wirtschaftlich, da die Betriebskosten zu hoch sind.
Bei Volumenströmen über 200 m³/h kann für die Grobentschwefelung auf einen Biowäscher zurückgegriffen werden. Am Austritt des Biowäschers ist mit einer H2S Konzentration von 50 ppm zu rechnen. Die Feinentschwefelung kann mit einer mit Kaliumpermanganat imprägnierten Aktivkohleschüttung erfolgen (adsorptive Feinentschwefelung).
Verdichtung
Das entschwefelte Biogas wird auf den notwendigen Betriebsdruck (ca. 6-10 bar) der Druckwechseladsorption gebracht, dabei erwärmt es sich von 25-35°C auf 60-90°C. Nach der Verdichtung kann eine Teiltrocknung des Biogases mittels Kondensatabscheider erfolgen. Im Anschluss daran wird eine zweite Entschwefelungsstufe durchlaufen. Diese erfolgt mittels Aktivkohleschüttung, dadurch kann ein H2S-Gehalt von weniger als 5 mg/m³ garantiert werden. [IE 2005]
Trocknung
Die Trocknung des Gases kann mit verschiedenen Verfahren durchgeführt werden. Häufig wird die Kältetrocknung mittels Kaltwassersatz angewendet. Dabei wird das Biogas auf 10°C abgekühlt. Dadurch kann ein Wassergehalt von weniger als 0,15 Vol% erreicht werden.
Methananreicherung
Zum Schutz der Molekularsiebe wird vor den Adsorptionseinheiten noch ein Aktivkohlefilter zur Entfernung von Öltröpfchen oder anderer Komponenten (höhere Kohlenwasserstoffe oder Siloxane) eingebaut. Anschließend erfolgt die Trennung von CO2 und CH4 in den Adsorbern, die abwechselnd durchströmt werden. Das Reinbiogas mit einer Methankonzentration von mindestens 96% steht druckseitig zur Verfügung. [IE 2005]
Abbildung 1: Verfahrensschema zur Biogasaufbereitung mit PSA für Volumenströme ab 250 m³/h
[Bildbeschreibung einblendenBildbeschreibung ausblenden]
Das Bild zeigt die schematische Darstellung einer PSA-Anlage. Das Rohgas strömt aus dem Fermenter von unten in den biologischen Wäscher, wird oben entnommen, verdichtet, entschwefelt und konditioniert, bevor es in einen der vier Adsorber gelangt. [IE 2005]
Die Druckwechseladsorption wird bei den Methananreicherungsverfahren noch einmal genauer beschrieben.
Investitionskosten
In folgender Abbildung sind die Kosten für die Wasserabscheidung, für die Kompression, für die Entschwefelung und die Kosten der eigentlichen Methananreicherung, der Entfeuchtung sowie der Flüssiggaszugabe enthalten. Die angeführten Kosten beinhalten den Bau der Anlage, die Installation, die Einhausung und die Abgasbehandlung.
Die Anforderung, ein Biogas mit Erdgasqualität herzustellen, kann die Zudosierung von Flüssiggas notwendig machen. Bei den Investitionskosten hat die Flüssiggasdosierung keinen großen Einfluss; sie hat einen Anteil von ca. 2-3%.
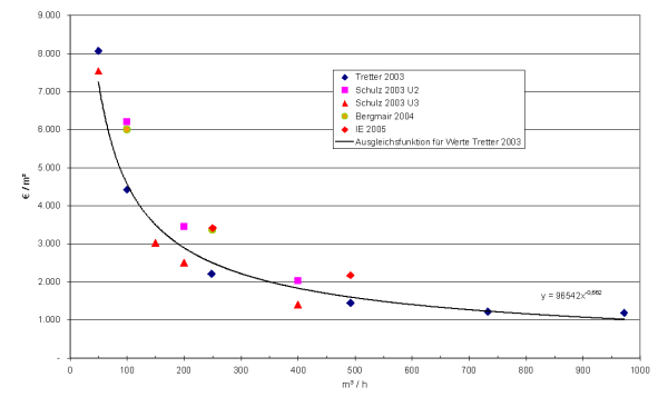
Abbildung 2: Spezifische Investitionskosten in EUR/m³ für die PSA-Technologie bezogen auf die Anlagengröße (m³/h)
[Bildbeschreibung einblendenBildbeschreibung ausblenden]
Das Diagramm zeigt die spezifischen Investitionskosten für Druckwasserwäsche in Abhängigkeit der Anlagenkapazität aus fünf Literaturquellen (Tretter 2003, Schulz 2003 U2, Schulz 2003 U3, Bergmair 2004, IE 2005): Die Ausgleichskurve (bezogen auf die Angaben von Tretter 2003) zeigt einen hyperbelartigen Verlauf mit der folgenden Ausgleichsfunktion: spezifische Kosten ist gleich 96.542 mal Kapazität hoch minus 0,56. Die Kosten sinken von rund 4.500 Euro pro Kubikmeter für Anlagen mit einer Kapazität von 100 Kubikmeter pro Stunde auf etwa 1.500 Euro pro Kubikmeter für Anlagen mit 500 Kubikmeter Stundendurchsatz und etwa 1.200 Euro pro Kubikmeter für Anlagen mit 1.200 Kubikmeter pro Stunde. [Tretter 2003, Schulz 2003, Bergmair 2003]
Bei einer Anlagenkapazität von 250 m³/h Rohbiogas ist mit spezifischen Investitionskosten von ca. 2500 €/m³ zu rechnen. Bei einer Anlagenkapazität von 500 m³/h sinken die spezifischen Investitionskosten auf ca. 1500 €/m³.
Betriebskosten
Die verbrauchsgebundenen Kosten setzten sich aus den Betriebsmitteln der Grobentschwefelung, dem Vorfilter sowie der Aktivkohle des PSA-Verfahrens zusammen.
Berücksichtig werden hier die Kosten für Strom, Wasser, Personal, Betrieb und Instandhaltung sowie die Propangasdosierung.
In der folgenden Abbildung sind die Betriebskosten in Abhängigkeit von der Anlagengröße angeführt. Für eine Anlage mit ca. 250 m³/h ist mit Betriebskosten von 0,095 €/m³ zu rechnen. Bei einer Anlage mit 500 m³/h sind Betriebskosten von 0,07 €/m³ zu erwarten.
Bei den Betriebskosten wurde - um die ÖVGW-Richtlinie G31 bzw G33 zu erfüllen - die Zudosierung von Flüssiggas in der Höhe von ca. 1 % der Produktgasmenge angenommen. Ist keine Zudosierung notwendig, wären die Betriebskosten um ca. 9 bis 17 % niedriger.
Abbildung 3: Spezifischen Betriebskosten mit und ohne Flüssiggasdosierung bei der PSA-Technologie
[Bildbeschreibung einblendenBildbeschreibung ausblenden]
Das Diagramm zeigt die Abhängigkeit der Betriebskosten von der Anlagengröße: Der hyperbelförmige Verlauf der Kosten liegt bei rund 0,17 Euro pro Kubikmeter bei Anlagen mit 100 Kubikmeter pro Stunde, bei etwa 0,075 Euro pro Kubikmeter bei Anlagen mit 500 Kubikmeter Stundendurchsatz pro Stunde und etwa 0,06 Euro pro Kubikmeter bei Anlagen mit knapp 1.000 Kubikmeter pro Stunde. Ohne Flüssiggasdosierung liegen die Kosten zwischen 9 % (kleine Anlagen) und 17 % (große Anlagen) niedriger.
[Fußnote 1] , [Tretter 2003, Tretter 2004]Entwicklungsstand
Für das PSA-Verfahren sind im Vergleich zu den anderen Verfahren relativ umfangreiche Daten zur Technik sowie zur Wirtschaftlichkeit verfügbar. Dies weist auf einen verhältnismäßig hohen Entwicklungsstand dieser Technologie hin. In Europa wird diese Technologie in einem Viertel der Anlagen mit Gasaufbereitung angewendet.
Fußnoten
Fußnote 1 [zurück]
Obwohl die Kostenfunktionen für die weitere Betrachtungen eine gute Grundlage bilden, muss darauf hingewiesen werden, dass die tatsächlichen Kosten nur bei realisierten Anlagen auf Basis detaillierte Abrechnungen bestimmt werden können. Aufgrund von Besonderheiten eines jeden Projektes können die tatsächlichen Kosten unter Umständen erheblich von den hier angegebenen Kosten abweichen.
